又是一年中考季,没想到时隔一年这篇回答又被翻出来了,看评论好多同学说没有的,我这几天抽空补上吧。
考完了大家该放松的放松,不过也不要彻底放飞自我了,可以适当预习预习高一的内容,也可以找些网课去学习,作业帮最近有个初高衔接网课还不错,19元有语数英物化22节课,荐准高一的同学们可以去听听看,报名链接放下面了~
❤️2021初升高衔接暑假系统班「点击报名」❤️
以下为原回答~
2020.8.26-------------------------------
各地中考分数线陆续发布,资料菌精心为大家整理了2020年各省市中考分数线!!!
整理的比较多,大家可以直接拉到自己的省市~(从左列到右列的顺序)

(ps:文末还有给准高一学生的预习资料和暑假建议)
【北京】





【天津】
天津市中考总分值为590分,其中学业考试成绩分值为560分,体育考试平时成绩分值为18分,体育考试统一测试成绩分值为12分。今年学业考试全市平均分为422.59分。



【上海】
黄浦区

静安区

徐汇区

2020年上海市民办高中最低投档控制分数线公布如下:

【重庆】
2020重庆各中学中考录取分数线



【江苏】
南京

苏州

无锡
今年市区普通高中(不含民办)填报资格线为412分。
常州

徐州


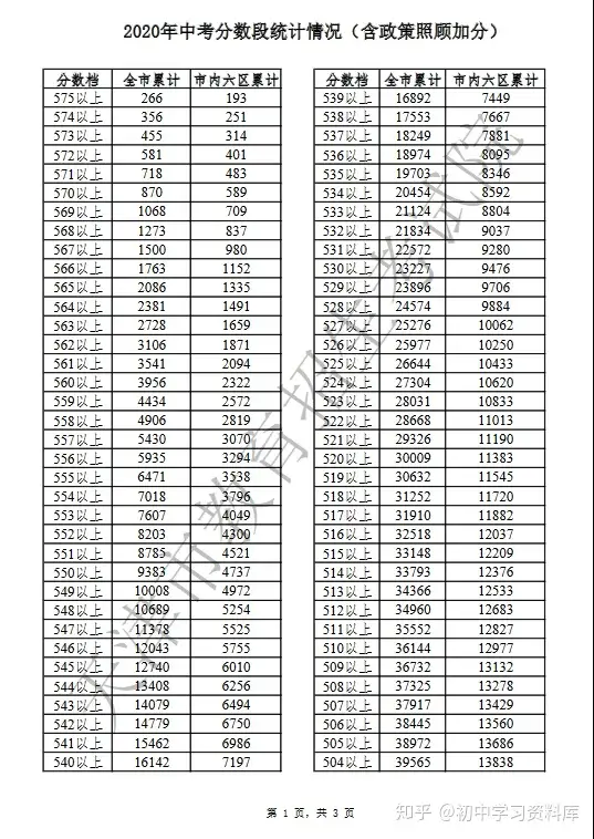
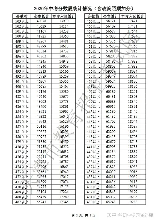
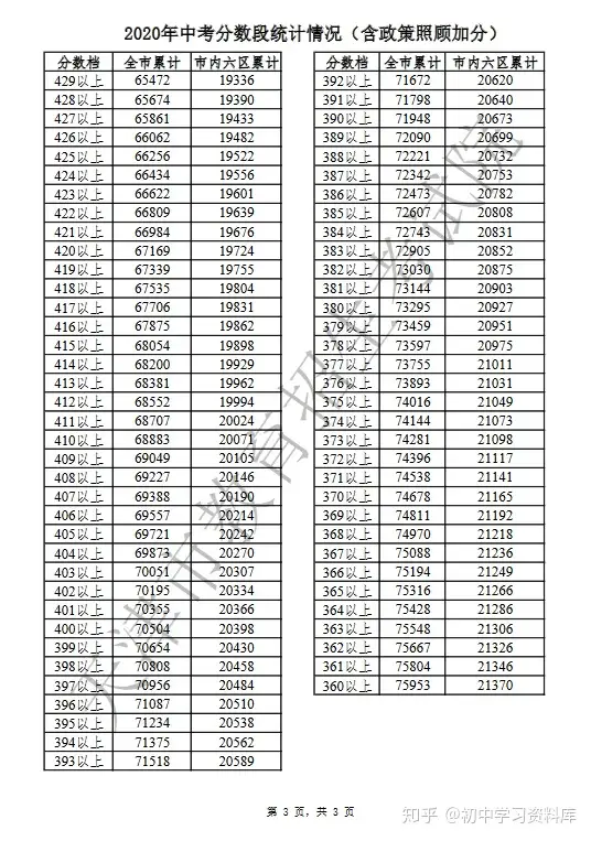
【浙江】
嘉兴

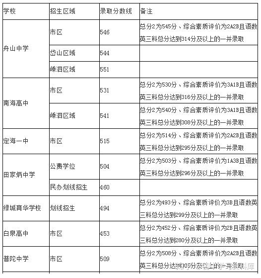
舟山
2020年全市普通高中录取分数线


【四川 】
成都
2020年“5+2”区域中考省级示范性普通高中填报志愿指导线(简称指导线)为552分,一般普通高中最低送档线(简称送档线)为520分。
绵阳
一、各普通高中录取分数线
第一批次
绵阳中学:757分,绵阳南山中学:746分;
第二批次(民办普通高中)
第一阶段:绵阳东辰国际学校:738分,绵阳外国语学校:726分;
第二阶段:绵阳中学实验学校:725分,绵阳南山中学实验学校:716分;
第三阶段:绵阳南山中学双语学校:672分,绵阳中学英才学校:705分,江油外国语学校:703分,三台中学实验学校:720分。
第三批次
第一阶段:科学城第一中学:707分,绵阳实验高级中学:707分;
第二阶段:三台中学:653分,江油中学:679分,绵阳市安州中学:619分。
第四批次
第一阶段:绵阳第一中学:666分,绵阳普明中学:617分;
第二阶段:江油市第一中学:657分,北川中学:589分,三台县芦溪中学:594分,平武中学:554分,盐亭中学:556分,三台县第一中学:562分,梓潼中学:561分。
第五批次
江油市太白中学:603分,绵阳市开元中学:552分,高新区实验中学:565分,绵阳市丰谷中学:550分,绵阳市秀水中学:565分。
二、全市普通高中最低录取分数控制线为550分。
雅安

广元

【山东】
济宁
8月3日,市教育局划定城区各普通高中学校统招生录取分数线:
济宁市第一中学517分,济宁市育才中学510分,济宁学校附属高中479分,济宁市实验中学496分,济宁市第二中学459分,任城区英才高中436分,高新区高级中学410分,高新区第二高中423分,济宁孔子国际学校517分,济宁海达行知学校447分。
8月7-8日,城区普通高中录取学生可到初中毕业学校领取录取通知书。
聊城
2020年山东聊城中考录取分数线已公布!
聊城一中新校区中考分数线为669.5分
聊城二中中考分数线为609分
聊城三中中考分数线为686分
聊城市水城中学中考分数线为637.5分
威海
2020年威海中考录取分数线已公布!

枣庄
2020年枣庄市中考录取分数线已公布!
普通生538分,城市指标生535分,农村指标生520分;
滕州二中
普通生分数线473分,
音乐 397分,美术387分,体育278分,
众志班分数线535分
一志愿432,二志愿452。
滕州五中
拟录取571人。其中,一志愿考生分数线 411分,拟录取143人;二志愿考生分数线431分,拟录取428人。美术生分数线332分,录取14 人;体育生分数线 273分,录取10人;音乐生分数线324分,录取6人 。共录取30人。
枣庄三中
普通生542分,城市指标生527分,农村指标生512分;
枣庄实验中学
普通生509分;
艺体专业生线:
(1)音乐专业生录取最低控制线:356分;
(2)播音主持专业生录取最低控制线:433分
(3)体育专业生录取最低控制线:一类(破格录取);二类:331分
(4)绘画专业生录取最低控制线:382分
(5)书法专业生录取最低控制线:382分
枣庄八中
普通生458分,城市指标生443分,农村指标生428分。
滨州
2020年山东滨州中考录取分数线已公布!滨州市教育局发布滨州市2020年高中阶段学校招生各类分数线查询公告,公告内容如下:
一、普通高中(含民办、特长生)最低控制分数线为358分。
二、“3+4”对口贯通分段培养职业教育、高等师范教育最低控制分数线为463 分。
三、初中后五年制高等师范教育志愿填报资格线为375分。
四、初中后五年制高等职业教育志愿填报资格线为200分。
五、滨州市2020年委托淄博师范专科学校定向培养试点的五年制专科学前教育专业投档分数线为542分。
六、滨州市城区五所普通高中(公办计划,含指标生)最低录取分数线如下表:

【湖北】
武汉
武汉市招考办权威发布高中录取资格线:示范高中400分,普高384分。


黄石
一、普通高中各批次资格线
(一)黄石城区
1.提前批次黄石二中招生计划的60%统招资格线562分。
2.提前批次黄石二中招生计划40%分配到校资格线如下:
黄石十四中、黄石八中、黄石十六中、黄石实验中学、有色中学、下陆中学、慧德学校、铁山一中、鹏程中学为556分;
黄石九中、汪仁中学、中庄中学为549分;
其它初中学校均为542分。
3.第一批次黄石二中国际班、黄石一中阳光班、黄石三中阳光班、黄石七中宏志班、有色一中阳光班资格线为542分。
4.第二批次各普通高中资格线为333分。
5.“两镇一区”和新港物流园区的考生报考阳新县普通高中执行阳新县的普通高中资格线。
(二)大冶市、阳新县
1.大冶市、阳新县(含“两镇一区”、新港物流园区)考生填报黄石二中的资格线为542分。
2.大冶市、阳新县所辖普通高中资格线由两地教育行政部门划定后,报市教育局备案并公布执行。
咸宁
普通高中志愿填报资格线
咸安区、温泉城区305分,赤壁市320分,嘉鱼县330分,崇阳县330分,通城县340分,通山县350分。
县(市、区)一中和各普通高中按计划和志愿情况,从高分到低分生成各校录取分数线。
民办高中可在规定招生范围内的普通高中志愿填报资格线下20分内,按计划、志愿从高分到低分录取。
咸安区、温泉城区考生可以填报咸安区和市直所有普通高中学校,按照计划从高分到低分录取。
宜昌
宜昌城区普通高中录取最低控制分数线
公办高中526分 民办高中514分
随州
经市招考委批准,现将随州市2020年中考招生各批次录取控制分数线通知如下:
第一批次录取控制分数线:478分;
第二批次录取控制分数线:296分。
【湖南】
长沙

湘潭
按全市普通高中招生计划总数的103%,划定全市普通高中录取最低控制分数线为670.5分。
湘潭县、湘乡市、韶山市、湘潭经开区、昭山示范区普通高中学校录取最低分数由主管教育行政部门公布。
市直普通高中学校常规生(不含直升生、指标生、自主招生)录取最低分数如下:

娄底
全市普通高中录取最低控制分数线为603分,其中省市级示范高中(含特色高中)录取最低控制分数线为663分。
【河北】
石家庄
2020年中考阅卷、划线工作已于7月28日全部结束。经市招生委员会研究确定,现将我市2020年中考各类学校招生录取最低控制分数线通知如下:
一、 普通高中录取最低控制分数线
(一)市区普通高中415分。
(二)市区普通高中音乐、美术、书法特长生最低文化控制分数线332分;最低专业控制分数线:音乐专业成绩43分,美术专业成绩112分,书法专业成绩127分,专业成绩合格后方可报考。
普通高中体育特长生最低文化控制分数线208分。按专业项目测试成绩从高分到低分录取。
(三)辛集中学、正定中学、石家庄实验中学、石家庄第二实验中学的最低控制分数线527分(含42中招各县部分的考生);音乐、美术、书法特长生最低文化控制分数线422分,专业控制分数线同市区;体育特长生最低文化控制分数线264分,录取办法同市区。
二、“3+4”本科、五年制和“3+2”高职最低控制分数线待省考试院确定后公布。
三、各县(市)、矿区、鹿泉区、栾城区、藁城区普通高中录取最低控制分数线,待成绩下发后,根据本辖区普通高中招生计划和考生分数按招生计划的1:1.2划定最低控制分数线,报市考试院后向社会公布。
志愿填报时间:7月30日上午9:00至8月1日上午 9:00。
沧州

张家口

邯郸
邯郸市最新发布2020年主城区普通高中招生最低控制分数线:

秦皇岛
秦皇岛最新发布2020年主城区普通高中录取最低控制分数线:

【河南】
新乡
2020年新乡市区高中录取最低控制线已经划定,现对社会公布。
普通类:236分。
艺术类:189分。
体育类:161分。
开封
据开封网报道:2020年中招考试成绩已公布,普通高中最低录取控制分数线为310分。
焦作
2020年,焦作市公办普通高中最低录取控制分数线为315分,民办普通高中最低录取控制分数线为270分。270分以下考生不能被普通高中录取,考生可选择到职业类学校就读。
平顶山
平顶山市教体局微博昨天发布消息,按照普职招生比例大体相当要求,在市教体局统一指导下,我市各考区普通高中最低录取控制分数线划定。
市直考区 245分
石龙区考区 245分
叶县考区 260分
宝丰县考区 260分
舞钢市考区 235分
鲁山县考区 285分
郏县考区 285分
【安徽】
合肥
2020年合肥中考普通高中最低录取分数线
7月28日上午,合肥市教育考试院召开了中考成绩发布及志愿填报工作会,合肥市区普通高中最低录取分数线为571分,700分以上3189人。
今年合肥中考总分750 ,比去年的总分减少了70分,所以普高最低录取线相应有所下降。

六安
各县区普通高中建档分数线公布如下:金安区490分,裕安区490分,霍邱县448分,舒城县473分,金寨县425分,霍山县555分,叶集区428分。
蚌埠
普通高中录取最低分数线:595分。市区达线考生共有7028人。
淮北
普通高中录取最低控制线为463分。
阜阳
阜城三区普通高中录取最低分数控制线:430分。
芜湖
市区普通高中(含民办)录取控制分数线为500分;市区普通高中艺术类特长生文化课录取控制线425分;市区普通高中体育类特长生文化课录取控制线为300分。
巢湖
高中阶段学校招生最低投档控制分数线为484分。
亳州
市教育局根据各县区招生计划的120%划定2020年普通高中招生录取,最低控制分数线具体如下:谯城区(含高新区)343分,涡阳县354分,蒙城县447分,利辛县377分。
滁州
普通高中录取最低控制线为540分。
池州
贵池区一般普通高中录取分数线为510分,最低录取控制线为500分。
马鞍山
市区566分,含山县467分,和县452分,当涂县492分。

【江西】 南昌
南昌市2020年第一批次省级重点高中投档分数线划定

【福建】 福州
8月3日,福州市中招办发布《2020年中招1号简报》划定
市区普高第一条投档线660分市区普高第二条投档线632分普高最低投档控制线479分民办普高体育、艺术特色班最低控制线466分五年制高职最低投档控制线406分【甘肃】 兰州
市教育局根据2020年城区高中阶段入学率、普通高中招生计划,结合中考成绩整体水平,分别确定了兰州市城区省级示范性高中(含兰州四中)录取最低控制线和普通高中录取最低控制线,其中:省级示范性高中录取最低控制线为580分,普通高中录取最低控制线为500分。
————————
需要准高一预习资料和进高一学生交流群的,可以看这两篇内容哦,看到就是赚到!!!
资料菌精心整理几小时,看完点个赞是对我最大的鼓励!❤❤❤

快来,关注
不定期分享初中各科学习资料和经验, 陪你乘风波浪度初中!


